| ||
|
■随着我国金融改革的持续推进,净利差收窄不仅没有引发金融业发展速度放缓,反而出现了金融业规模快速扩张,金融市场主体扩大,金融创新步伐加快,金融产品日益丰富,明显提高了金融服务实体经济的能力。
■金融创新是金融领域内部通过各种要素的重新组合和创造性变革所创造或形成的新事物。从金融创新主体分析,不仅涉及金融机构的创新,而且也涉及管理部门的创新,比如银行间债券市场的建立与发展、金融期货交易所以及各种由金融管理者主导的业务创新与政策试点等等。
□陈涛
文眼
近年来,我国金融机构出现了明显的混业化趋势,金融创新较为活跃。新型金融组织、新金融工具在金融市场时有所见,促进了金融业的发展与壮大。但与此同时,有些金融创新活动也出现了偏差,蕴含着较大风险,值得高度关注。
——亚夫
当前我国金融创新有哪些特点
我国金融创新发展离不开现代金融企业制度的建立。现代金融企业制度建立后,金融机构公司治理体系日趋完善,特别是激励机制与经营业绩相挂钩,极大地激发了金融创新的内在动力。随着国有商业银行股份制改革和上市,各类金融机构平等参与市场竞争,有效促进了金融市场规模的发展与壮大。应该看到,在一个净利差相对稳定的金融环境中,金融机构往往没有足够动力去创新,势必导致金融服务供给不足,并影响到金融服务实体经济的深度与广度。
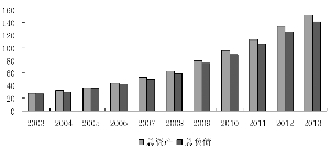
随着我国金融改革的持续推进,净利差收窄不仅没有引发金融业发展速度放缓,反而出现了金融业规模快速扩张,金融市场主体扩大,金融创新步伐加快,金融产品日益丰富,明显提高了金融服务实体经济的能力。截至2014年末,我国银行业总资产规模为168.2万亿元,是2002年末的7.06倍;保险业总资产由2002年末的6000亿元增长至2014年末的10.16万亿元,增长了16.9倍;2014年末,我国证券期货业管理资产规模已高达20.5万亿元。
理论上分析,金融创新是金融领域内部通过各种要素的重新组合和创造性变革所创造或形成的新事物。从金融创新主体分析,不仅仅涉及金融机构的金融创新,而且也涉及金融管理当局金融创新活动,比如银行间债券市场的建立与发展、金融期货交易所以及各种由金融管理当局主导的金融业务创新与政策试点。考虑到金融创新内容极为丰富,或可以用金融组织创新、金融产品创新对当前我国各类金融创新活动进行大致轮廓描述。
1.我国已经进入金融组织创新活跃时期
2000年以前,我国金融组织主要由传统金融机构组成。银行、信托公司、证券公司、期货公司、保险公司是我国主要金融组织机构。现在,我国金融组织的外延较过去有明显扩大,出现了行业协会组织、金融交易所、银行间清算所等由金融管理部门推动建设的组织机构,基金子公司、保险资产管理公司、证券期货子公司等新型金融组织,以及第三方支付机构、小额贷款公司、互联网平台创设从事金融业务的类金融组织。
一是提升金融管理效率的金融组织创新。2003年银监会从中国人民银行分设,标志着我国金融分业监管体制的最终建立。“一行三会”金融分业监管体制有效促进了我国金融组织创新。为发展和繁荣我国债券市场,中国人民银行大力推动了银行间债券市场发展,并于2007年指导创设了中国银行间市场交易商协会的自律组织。2009年11月,我国成立银行间清算所,主要提供中央对手为主的集中清算或净额清算服务。
为化解信托行业系统性风险,2014年12月银监会指导成立中国信托业保障基金有限责任公司。为推动金融期货交易,经证监会批准,2006年9月中国金融期货交易所成立。2014年9月,保监会指导建立中国保险资产管理业协会。这些由金融管理当局推动的金融组织创新,有助于加强行业自律、防范和化解金融风险、提升金融管理效率,适应了我国金融业发展与管理的需要。
二是适应金融机构业务拓展需要的金融组织创新。在金融分业监管体制下,不同行业金融机构之间存在法律层面的隔火墙,限制了金融机构业务规模扩张和盈利空间。特别是证券期货行业,在我国金融分业监管体制下,行业金融资产管理规模长期增长缓慢。证券公司盈利能力薄弱,收入来源较为单一,主要依靠证券经纪业务收入,受资本市场波动影响较大。证券公司业务创新能力有限,资产管理业务规模偏低。
为推动证券期货业创新,2007年,证监会允许证券公司设立子公司。2012年,证监会公布《证券投资基金管理公司子公司管理暂行规定》,允许其开展特定客户资产管理业务、基金销售业务。2004年,保监会允许保险公司设立保险资产管理公司,受托管理保险资金。虽然商业银行从事理财业务无须成立独立法人实体,但商业银行内部组织结构也发生较大变化,主要从事理财产品销售和理财资金运用的资产管理部门已经发展成为商业银行重要的业务条线。这些适应金融机构业务拓展的金融组织创新,为金融机构从事混业经营提供了强大的业务平台。
三是非金融机构推动的金融组织创新。在传统金融服务供给不足领域,小额贷款公司的兴起填补了空白。截至2014年末,全国共有小额贷款公司8791家,从业人员109948人,实收资本8283.06亿元,贷款余额9420.38亿元。第三方支付机构的兴起和网络购物蓬勃发展密不可分。据中国支付清算协会报告,截至2013年末,我国第三方支付市场规模已达16万亿元。
互联网平台积极从事金融业务,阿里巴巴、百度、苏宁和京东利用平台开展类金融投资的业务。P2P网络贷款平台、众筹、互联网银行、互联网保险公司等,已经成为互联网金融业务的重要组织形式。
2.金融市场工具创新内在动力强劲
我国金融市场工具创新来源三个方面,分别是金融管理当局主导的金融工具创新、金融机构创设的新金融工具以及非金融企业提供的金融服务产品。
一是服务于金融宏观调控和金融风险监管的工具创新活跃。为适应我国金融宏观调控需要,近年来中央银行不断创新,推出了中央银行票据、短期流动性调节工具(SLO)、常备借贷便利(SLF)、中期借贷便利(MLF)等,丰富了中央银行货币政策工具箱。在银监会推动下,商业银行推出净值型理财产品,交易形式为开放式,收益以产品净值的形式定期公布。金融期货、两融业务在监管当局的主导下成为金融市场活跃的金融工具。类似金融工具不胜枚举,都是服务于金融宏观调控和金融风险监管,因其交易对象为金融机构,也成为金融机构资产配置的重要来源。
二是金融机构自发推动的金融工具创新。为获得竞争优势,金融机构对各种金融要素进行分割、排列和组合,在传统业务上进行了创新。以商业银行为例,负债业务端存款产品的创新较为活跃,诸如为存款人提供在定期和活期之间资金转账的便利和最大限度的存款收益、自动转存、约定转存等等;在资产业务端对贷款产品进行创新,服务于实体企业融资,缓解企业贷款难题。
金融机构开拓新业务领域,如商业银行理财业务、同业业务、证券公司专项资产管理产品、信托计划、基金子公司私募资产管理计划等等。创设新金融工具,金融机构在《信托法》关于信托受益权可转让的规定下,拓展了受益权的内涵,将各种融资通过信托计划打包成可交易转让的“受益权”业务;在“受益权”概念基础上,金融机构创设了“收益权”概念,将依托于债权、金融资产所有权下的收益转化为可交易转让的“收益权”。
目前,“受益权”和“收益权”已经成为我国金融同业和金融资产管理业务领域极为重要的金融产品创新。依托于“受益权”和“收益权”,金融机构几乎是突破金融分业监管的限制,广泛开展金融混业经营。
三是非金融企业推出的金融工具创新。尽管金融业改革开放有效促进了金融服务规模,在某些金融服务领域也存在供给不足问题。以小额分散融资为主要特征的网络贷款业的发展,是我国普惠金融的重要组成部分。在民间金融投资理财领域,私募基金发展迅速,已经成为为我国资本市场重要的力量。产业基金对初创企业的天使投资,是当前我国创业创新的重要支撑。支付宝的横空出世,融合了取用便利和存放高收益的特点,得到了社会的广泛热捧。
当前金融创新与金融风险防范面临的问题
1.当前我国金融风险的主要表现方式
一是金融风险主要存在方式可能会发生较大变化。信用风险是传统金融机构面临的首要风险。但在金融创新步伐加快的背景下,流动性风险和利率风险对金融机构经营的冲击更大。当前我国金融业务结构日趋复杂和业务链条大为延长,流动性风险既来自金融市场流动性充裕程度,也与金融业务交易链条中的任何环节密切相关。利率风险伴随着我国利率市场化进程而同步上升。利率是金融资产定价的基础,金融市场利率的微小波动,可能会引发金融机构利润较大规模变动。与传统金融风险存在方式显性化存在巨大差异,当前我国金融风险的存在方式较过去更加隐蔽,金融创新客观上增加了金融风险识别的难度。
二是金融风险传导方式出现较大差异。过去,金融业务相对单一,金融创新也不活跃,金融风险相对封闭运行,金融风险传染性整体较低。微观审慎监管可以在相当程度上促使金融机构稳健运行。但随着金融创新步伐加快,我国金融业务日益呈现出跨市场、跨行业运作的趋势,特别是以受益权、收益权为载体的金融资产管理业务交易结构复杂、金融交易链条大大延长,金融风险传导较以往更为迅速,金融风险传染性更强。微观审慎并不必然导致宏观审慎,这是各国金融当局对2008年国际金融危机反思的一个重要收获。金融创新在提升金融资源配置效率同时,也不可避免增加金融体系运行的不稳定性,需要加强金融宏观审慎管理来积极应对。
三是金融风险危害程度明显增加。金融创新进程加快,明显增进了各个金融市场之间的联动,加上金融信息开放与瞬时传播的有力干扰,金融市场波动共振较以往有显著增大,因而金融风险的危害程度也明显增加。当前我国金融市场规模与总量与以往相比不可同日而语。在金融创新过程中,由于模仿成本极低,交易方向趋同,金融机构同类业务规模往往在短时间内出现爆发式增长。因而当金融市场调整来临,往往会发生类似“踩踏性”风险事件,危害程度极大,需要引起管理当局高度重视。
四是金融风险处置更趋复杂。金融创新有力地促进了金融的混业运作,而金融交易主体多元化、金融市场规模总量巨大等,都决定了当前金融风险处置呈现出日益复杂化的趋势。金融机构不良贷款处置,往往涉及借款企业的非信贷融资和金融投资。资产管理业务、金融同业业务交易链条中的权责不清晰,增加了事后纠纷和风险处置的困难程度。为有效应对和及时处置新时期金融风险,往往需要多部门的通力协作,才能守住不发生区域性、系统性金融风险的底线。
2.当前我国金融创新存在的问题
一是金融立法滞后于金融创新。金融立法是金融改革创新的重要内容,也是确保金融创新在法定轨道稳健运行的重要保证。当然,金融立法滞后于金融创新,存在合理性。金融立法通常是对当前及今后一段时间的金融交易法律关系进行调整与规范,无法做到一出现新生金融事物就匆忙进行立法。当前以“受益权”、“收益权”为代表的金融同业业务和金融资产管理业务规模迅速增长,已经具备一定的系统性影响。但现行金融法律法规以及规范性文件,对“受益权”、“收益权”的定义及交易规则等很少或几乎没有规定。
金融机构根据自身业务需要,定义“受益权”、“收益权”的概念,任意扩大概念适用的外延和使用范围。在现行金融实务中,任何可估计的资产,不管是否当期存在收益,都可以被金融机构包装成可交易的“受益权”或“收益权”进行交易。从某种程度上分析,“受益权”、“收益权”存在被金融机构滥用的风险,且这些交易涉及的金融机构众多,交易链条复杂,存在很大的法律风险,需要出台关于“受益权”、“收益权”交易的法律法规文件,来及时进行调整与规范。
二是资产管理业务创新监管存在不足。资产管理业的兴起与发展是高净值人群与社会财富管理需求共同上升的必然结果。资产管理业务与传统金融业务并无实质区别,也面临各种金融风险冲击,并影响到金融系统稳定性。同样,经营资产管理业务的金融中介机构也与传统金融机构一样存在脆弱性。在金融分业监管体制下,我国金融机构资产管理业务围绕监管套利的创新活动异常活跃,已经成为影子银行领域重要内容。
特别是资产管理业务交易结构设计复杂,交易链条过长,缺乏足够微观审慎,助长了金融市场投机,加剧了金融市场波动,存在较大的金融风险隐患。我国商业银行理财业务已完全摆脱分业监管限制,借助资产管理产品(信托计划、定向资产管理计划等)载体广泛参与资本市场业务、贷款业务。证券公司资产管理计划可以为上市公司大股东提供商业银行股票质押贷款的融资服务。保险公司资产管理计划不仅可以投资于资本市场,而且也可以为基础设施项目提供融资支持。
从当前我国银、证、保资产管理业务资金运用范围看,几乎没有实质性差异,基本具备了“全能银行”特征,与现行金融分业监管形成巨大冲突。而基于金融分业的资产管理监管规则与力度存在不同步、不一致性,易引发监管套利活动,同时又存在监管真空。值得注意的是,当前各类资产管理业务基本没有资本约束,杠杆率也没有限制,使得经营“类传统”金融业务的资产管理业务存在明显的监管不足。在现行监管规则下,资产管理机构很少的资本就可以将资产管理规模扩张到千倍以上。
三是金融市场“伪”金融创新盛行。在金融创新进程中,出现了为数不少的“伪”金融创新。这些“伪”金融创新与金融创新的实质相去甚远,但打着金融创新的幌子,却从事违反金融法律法规的业务。个别金融机构通过眼花缭乱的金融交易链条,通过各种类型金融业务的交叉,从事着“以贷转存”的违规业务;个别金融机构借助部分小金融机构会计核算管理不科学以及内控不完善的便利,通过名义上的资产转让将表内资产出表,而小金融机构同时也不入账;个别金融机构任意创设“受益权”和“收益权”项目下载体,将一些现行法律法规不允许交易转让的业务,打包成可交易的“受益权”、“收益权”业务,满足表内会计核算、科目调整、少计风险资产或不计风险资产的目的。
应该看到,金融创新是金融领域内部通过各种要素的重新组合和创造性变革所创造或形成的新事物。这些“伪”金融创新业务,既不是金融领域内部各种要素的重新组合,也不属于创造性变革,其实质是借助“金融创新”幌子来掩盖违规经营的目的,存在很大的欺骗性。
四是部分金融创新存在监管真空。金融创新监管真空主要来自两个方面。一种情况是金融分业监管体制无法对跨市场混业经营的金融创新业务进行有效监管,从而产生金融监管真空现象。这是因为跨市场混业金融创新业务,在监管权归属上很难确定属于哪一个监管当局的职权范围。另一种情况是监管当局无法及时有效对金融机构创新业务进行风险评估进而采取监管措施。
这主要是因为现行金融创新业务交易结构设计极为复杂,还加入金融衍生交易结构,可能超出了监管当局的知识和能力范围。特别是在金融分业监管体制下,特定监管当局往往不熟悉另一领域金融业务,因而无法合理分析评估这项金融创新业务存在实质性风险。
五是非正规金融领域金融创新亟待规范。近年来,我国非正规金融领域的金融创新活动极为活跃。民间投资理财组织机构大量出现,私募基金已经成为资本市场重要投资者,网络贷款平台机构投资经久不衰,互联网平台公司积极涉足金融业务。这些情况在推动我国金融业繁荣活跃的同时,也一定程度增加了金融体系运行的不确定性。
从当前我国民间非法集资案件频发和网络贷款平台跑路事件多发情况看,非正规金融领域的非法集资和金融欺诈风险较高,已经严重影响到正常的金融秩序。而已经发生风险事件的非正规金融领域案件,难以及时有效处置,进而引发了群体性事件。
金融创新走上轨道需要哪些措施
一是加快金融立法。当前急需改变我国金融立法滞后于金融创新的现状。在清理现行金融法律、法规、规范性文件的基础上,根据金融实务出台相适应的金融法律法规,以规范和调整新型金融交易法律关系。
适当增加金融机构违法、违规经营成本,修订完善上世纪末出台的《金融机构违法行为处理办法》,增加新的内容,防止金融机构金融创新跑偏。尽快出台有关“受益权”、“收益权”交易与流转的规范性法律指导意见,对特定目的载体的法律主体地位、交易权利义务等予以规范。
二是加强金融监管协调。培养金融管理人才队伍,强化金融监管协调机制建设,构建金融风险监管信息共享和沟通机制,细化金融监管合作内容,强调操作可行性。完善金融宏观审慎管理和金融微观审慎监管的合作与沟通。
三是防范和化解金融风险。构建系统性、区域性金融风险预警指标体系,加强对金融创新风险的研究,动态监测金融市场运行风险,修订和完善金融风险处置预案,探索有效的金融风险处置方式。
四是加强非正规金融领域风险的监管。加强中央金融管理部门与地方金融管理部门的合作,分享金融风险信息,培养地方金融监管人才队伍,及时化解处置地方金融风险,严厉打击非正规金融领域违法违规行为。
(作者系经济学博士,供职于金融机构)




